人体临床研究:NMN能有效降低甘油三酯水平
- 分类:行业动态
- 发布时间:2022-11-04 10:52
- 访问量:
【概要描述】甘油三酯(TG)是人的身体内部含量比较多的一种脂肪类,人体的器官组织都可以利用甘油三酯提供能量,肝脏可以进行甘油三酯的合成,在肝脏中储存。如果甘油三酯升高,则表示肝脏堆积脂肪过多,就是脂肪肝。高甘油三酯是作为高血脂症的一种,对人体的主要危害是引起动脉粥样硬化、造成血管堵塞和形成血栓。此外,还有研究显示高甘油三酯还能引发高血压、胆结石、胰腺炎、老年痴呆等。
人体临床研究:NMN能有效降低甘油三酯水平
- 分类:行业动态
- 发布时间:2022-11-04 10:52
- 访问量:
甘油三酯(TG)是人的身体内部含量比较多的一种脂肪类,人体的器官组织都可以利用甘油三酯提供能量,肝脏可以进行甘油三酯的合成,在肝脏中储存。如果甘油三酯升高,则表示肝脏堆积脂肪过多,就是脂肪肝。高甘油三酯是作为高血脂症的一种,对人体的主要危害是引起动脉粥样硬化、造成血管堵塞和形成血栓。此外,还有研究显示高甘油三酯还能引发高血压、胆结石、胰腺炎、老年痴呆等。
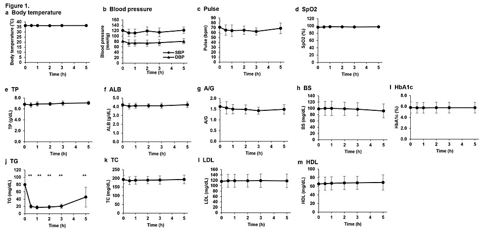
近期日本的一项人体临床研究再次证明了NMN对人体的益处,研究团队通过人体临床试验证明静脉注射NMN对人体是安全的,不仅可以显著提高血液NAD+水平,而且可在不损害血细胞的情况下显著降低血液中的甘油三酯水平。

研究团队招募了10名健康的志愿者(5男5女,年龄20~70岁),在禁食12小时后,把300mg的NMN溶解在100mL盐水中,通过手臂静脉(5mL/min)注射到志愿者体内。在注射NMN前后拍摄了胸部X光片,测量体重、体温、血压、脉搏和血氧饱和度,并采集了血液和尿液进行检测。通过多项检测结果对比分析发现:肝脏、胰腺、心脏和肾脏主要标志物没有明显变化,此外,也不会影响血液中红细胞、白细胞、血小板主要标志物,且参与者未出现任何不良反应。

值得注意的是血液中甘油三酯水平发生了明显的变化,受试者在接受NMN注射半小时后,甘油三酯水平下降明显,一直到5小时后,虽有轻微的恢复趋势,但这种显著差异依然存在。

从临床前动物实验,再到人体临床实验,NMN对人体的益处不断得到有效验证,此次人体临床研究证明了NMN在降低甘油三脂方面的功能,对肥胖和衰老人群来说是个利好消息。
参考文献:
[1]. Kimura S, Ichikawa M, Sugawara S, et al. (September 05, 2022) Nicotinamide Mononucleotide Is Safely Metabolized and Significantly Reduces Blood Triglyceride Levels in Healthy Individuals. Cureus 14(9): e28812. doi:10.7759/cureus.28812
搜索
沪公网安备31011502015262号
-
-